前言:由于各种(花了一周的时间隔壁几乎毕业了)原因这次帖子比预计晚了些时间发布,最近没什么心思玩伊洛纳,毕竟现在的态势不容乐观,不过大家如果有需求我还是可能会继续更下去,个人刚开始很喜欢这个款游戏(真不错),不过也还是很肝的(我还是很希望GM能尽快出联机模式,一个人肝不如大家一起肝来的有意思)。咳咳,开始讲讲这次给大家带来的东西吧!本贴会涉及装备防御、防御面板计算方式,抗性、减伤词条的减伤效果等,以及其特性曲线和大致的计算公式。(由于测试环境受限及游戏的各种不确定性会导致最终的函数模型并非很准确,也就是说,我只能尽量做到近似或大致的计算公式推导——伤害浮动实在很难确定除非有巨量的测试数据,个人时间有限无法做到精确,尽请谅解!) 上一篇:【非官方】魔法技能伤害计算及加成方式——超长数据贴 正文开始:

目录:一、懒人专区(结论) 二、公式部分 三、理论推导过程 一、懒人专区(直接上结论): 先上图了解本贴相关知识和关键词:

1.防御力、抗性直接决定物理和魔法减伤程度,两者相互独立计算,互不关联。(建议优先堆抗性) 2.防御力受装备加成、物理减伤词条、天赋、变异、以太病、魔法、技能、体质(10点体质=1点防御力)影响。 3.抗性受装备加成、魔法减伤词条、种族、天赋、变异、以太病、魔法影响。(可能有遗漏) 4.不带防御类加成的属性不会提高防御强度,防御力和闪避单独计算,角色无初始防御力且不随等级而增加。 5.抗性不会提高防御力,对应防御强度增加量为抗性增加量,即100抗性,防御强度增加100 6.防御强度受多方面影响,只代表综合防御力 7.输出伤害浮动值在最高和最低区间内的概率(大致)各为1/8,其他伤害区间概率几乎相等,就是说除了最低和最高2个极值区间的概率总和为1/4以外区间概率为3/4。(推导部分有拟合趋势图) 8.受伤率=1-减伤率 9.减伤效果都为非线性方程,最终无限趋于100%。(无法达到满减伤,减伤词条非描述%) 10.各抗性减伤效果一致。 11.盾牌专精描述错误,不是提升xxx%,而是变为原来的xxx%,【轻/中/重装备防御加成%】是只作用与装备所加的防御力,【盾牌专精加成%】作用于经过【轻/中/重装备防御加成%】之后进行叠加的。 二、公式部分(为了便于大家计算各系数取了近似值): 防御力计算方式:

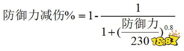
以下为个人测试拟合推算出来的公式(由于输出伤害具有较大的不确定性,计算结果只能说是近似值仅供参考) 防御力减伤:

抗性减伤:
减伤词条减伤(公式把词条描述的%x100倍,即85%=>85,直接把数值代入公式,无需%):

以上公式都是在其他影响减伤属性为0的情况下测试的结果 总减伤量由减伤词条减伤%和防御力(抗性)减伤%决定,并非相加,而是以一定的关系相乘,不过经过测试模拟出来大致为:

除了游戏面板上有明确的数值而推导出公式,其他公式都只能由大量的测试推导出,公式不是最重要的,公式只是给大家展现这个属性由哪些其他属性决定,看看推导过程,了解这些属性的特性,也许会给你些启发。 三、理论推导部分(此过程都是单一变量): 由于测试数据巨量此处省略,每点数据都是经过大几十次的测试得出 1.输出伤害数值浮动特性: 了解一下谜之伤害浮动

此图为固定输出伤害下采集到的伤害数据,经过300来次的测试,得出一个结果,当输出固定,伤害数值落在最高和最低2个区域内的概率都为1/8,其他位置概率总和为3/4且概率一致(中间部分为线性,斜率不变)ps:我本以为这伤害浮动值的曲线会类似凸函数图形,结果。。 2.防御力推导过程:

经过以上测试我发现,本应该1点防御=1点防御力,结果是1.46点防御力,后来一看轻装备技能+46%防御,后来测试中、重装备也是按照技能对每件装备单独加成,所以可以得出轻/中/重装备加的是装备防御。此外还有个盾牌专精技能,刚开始我对这个技能的描述有异议,描述是“持盾时防御提升xxx%”,这什么意思?有盾提升防御xxx%,提升意味着在基础上叠加,按照描述的计算应该是“防御力x(1+xxx%)”这才是所谓的提升,就是因为这个原因我尝试过各种方式计算,都搞不清楚,后来我决定把一个盾用酸腐蚀到加0点防御,和一些闪避(闪避单独计算,不会增加防御力),然后身上就带一个装备-盾,对比之前30点防御力,结果还是30点防御力(这30点防御力是体质、变异给的,直接相加),ps:由于之前用小号测试过体质增加的防御力数值,初始的号有1点防御力,看了下属性体质增加防御力,而且体质刚好18点,后来经过测试10点体质增加1点防御力,不会四舍五入,只会向下取整(wtm体质加的这点防御力有毛用啊)。继续说盾牌专精,通过上述这些测试,我明白了,盾牌专精不会增加装备以外的防御,经过一些波折,最终还是搞清楚了,技能轻/中/重装备和盾牌专精的加成顺序了,关系是:装备总防御x(1+轻/中/重装备%)x盾牌专精%在加上其他乱七八糟的防御加成,顺便说下魔法的防御力加成是固定数值。防御力公式推导过程就先到这里,这个公式还是很准确的,毕竟有游戏面板在那里,只要理清楚关系即可。 3.防御力减伤推导过程: 以下为防御力受伤图,减伤率则为1-受伤率

直接看图可发现,减伤词条并非直接减少固定%的伤害,而是配合防御力减伤一起作用,达到叠加效果。图中两曲线之间的间隔就是那10%物理减伤词条影响的结果,大致分析一下,防御力越高减伤增益下降,防御力越高词条减伤增益下降,可以很明确的看出,不管是词条减伤,还是防御力减伤,当数值高了,减伤效果都显著下降。前文推导出的公式是我经过各种调整得出的比较接近这个趋势的曲线,省去了部分复杂的系数。 4.抗性减伤推导过程: 抗性减伤经过多次测试


以上2幅图都是抗性受伤特性图,由于拟合函数没什么参考性,此处不显示,本人在其他拟合软件重新对这些数据进行拟合,公式区的公式最接近测试值(因为输出伤害、受伤伤害随机性太大了,只能做到这样了),没什么好讲,几乎所有的游戏减伤率都是增益减少的单调递增函数(受伤率相反),没有一个最佳数值。 5.减伤词条减伤推导过程: 此图中的横坐标省略%

此处测试又得出一个结论(GM又有描述错误),减伤词条所增加的减伤率并非所描述的%数值,由于之前已经知道这个bug,所以***脆把%去掉,看看最后能模拟出什么东西,上图能看出词条减伤也是同样的特性(这个是在0抗性下测试的结果)ps:减伤90-100之后的增益很低。 6.减伤总量猜测:

由于减伤总量的计算比较复杂,变量较多,测试工作量巨多,此处偷懒。直接大胆猜测公式(也不是盲猜)受伤量=纯伤害x词条减伤x防御力(抗性)减伤xA(A为其他减伤加成和未知系数),上图是用公式区计算出来的数据比较,毕竟2组数据都有较大误差,娱乐用。词条减伤和抗性都是需要的,词条是所有物理(魔法)减伤,抗性只能针对指定元素的减伤,有资源2者都堆,没资源那就优先堆针对性怪的抗性,词条随性。 ps:以上为本次全部测试推导内容,这次的测试除了防御力计算公式(准确)以外,其他公式为个人模拟的公式(误差较大,仅供参考),只要是面板准确的数值所推导出的公式都是准确的,其他都是娱乐用(大佬不用太在意公式本身),我觉得让大家了解各属性的特性是最重要的,这样有助于你进一步提升游戏水平。不过这些都是其次的,如果玩游戏不开心啥都是浮云,还是希望大家抱着最初的心态玩,也希望GM跟着自己走。 最后希望各位小伙伴能从其中得到一些启发,可能没有后续(也有可能有),最近没动力玩下去了休息一下,哈哈!

by 不是很开心
0
0